Utama
Kluster Pahang Tengah
Hospital Kluster Pahang Tengah
HOSHAS
Hospital Bentong
Hospital Jengka
Hospital Jerantut
Perkhidmatan
Jadual Klinik Pakar
Senarai Pakar Klinikal
Pesakit
Medication Ordering Service (MOS)
Wad Bersalin / PAC
Kadar Bayaran
Perkhidmatan Rawatan Harian
Rujukan ke Klinik Pakar
Kemasukan Ke Wad
Permohonan Alatan Perubatan
Permohonan Laporan Perubatan
Permohonan Pembekalan Ubat
Rawatan Hemodialisis & CAPD
Rawatan Di Klinik Pakar
Info
Aktiviti Terkini
Aktiviti Peningkatan Kualiti HOSHAS Tahun 2024
Audio & Video
Data Terbuka Sektor Awam
Etika Pakaian Pelawat
Info Terkini
Keratan Akhbar
Kempen Derma Darah
Klinik Berhampiran
Kursus & Aktiviti
Panduan Pesakit, Keluarga dan Pelawat
Penerbitan
Program Bebas Kesakitan
Risalah
Takwim Aktiviti
Bantuan Portal
Warga
Mengenai Kami
Perutusan Pengarah
Pengurusan
Unit Hal Ehwal Islam
Unit Kejuruteraan
Unit Keselamatan
Unit Pembangunan, Perolehan dan Penswastaan (3P)
Unit Perhubungan Awam
Unit Hasil
Unit Kewangan, Akaun dan Hasil
Unit Sumber Manusia, Kompetensi dan Latihan
Unit Pentadbiran Am
Unit Teknologi Maklumat
Unit Psikologi dan Kaunseling
Unit Pengurusan Aset
Sekolah Dalam Hospital
Direktorat Perubatan dan Psikiatri
Jabatan Perubatan Am
Jabatan Psikiatri dan Kesihatan Mental
Jabatan Perubatan Rehabilitasi
Hospital Kluster Pahang Tengah
Direktorat Pembedahan dan Kecemasan
Jabatan Kecemasan dan Trauma
Jabatan Anestesiologi dan Rawatan Rapi
Jabatan Pembedahan Am
Jabatan Ortopedik
Jabatan Otorinolaringologi
Jabatan Oftalmologi
Jabatan Bedah Mulut dan Maksilofasial
Direktorat Wanita dan Kanak-Kanak
Jabatan Obstetrik dan Ginekologi
Jabatan Pediatrik
Jabatan Pergigian Pediatrik
Pencapaian dan Pengiktirafan
Penyeliaan dan Kejururawatan
Unit Penyeliaan Kejururawatan
Unit Penyeliaan Penolong Pegawai Perubatan
Direktorat Diagnostik Klinikal dan Forensik
Jabatan Patologi dan Tabung Darah
Jabatan Radiologi
Unit Perubatan Forensik
Direktori Pegawai
Direktorat Penyelidikan dan Sokongan Klinikal
Jabatan Farmasi
Jabatan Rekod Perubatan
Jabatan Dietetik dan Sajian
Jabatan Kerja Sosial Perubatan
Pengurusan Risiko dan Survelan
Unit Kualiti, Keselamatan Pesakit dan Penyelidikan
Unit Kawalan Infeksi
Unit Kesihatan Awam, Keselamatan dan Kesihatan Pekerjaan
Hubungi Kami
A-
A
A+
Talian Utama 09-2955 333
English
Utama
Kluster Pahang Tengah
Hospital Kluster Pahang Tengah
HOSHAS
Hospital Bentong
Hospital Jengka
Hospital Jerantut
Perkhidmatan
Jadual Klinik Pakar
Senarai Pakar Klinikal
Pesakit
Medication Ordering Service (MOS)
Wad Bersalin / PAC
Kadar Bayaran
Perkhidmatan Rawatan Harian
Rujukan ke Klinik Pakar
Kemasukan Ke Wad
Permohonan Alatan Perubatan
Permohonan Laporan Perubatan
Permohonan Pembekalan Ubat
Rawatan Hemodialisis & CAPD
Rawatan Di Klinik Pakar
Info
Aktiviti Terkini
Aktiviti Peningkatan Kualiti HOSHAS Tahun 2024
Audio & Video
Data Terbuka Sektor Awam
Etika Pakaian Pelawat
Info Terkini
Keratan Akhbar
Kempen Derma Darah
Klinik Berhampiran
Kursus & Aktiviti
Panduan Pesakit, Keluarga dan Pelawat
Penerbitan
Program Bebas Kesakitan
Risalah
Takwim Aktiviti
Bantuan Portal
Warga
Mengenai Kami
Perutusan Pengarah
Pengurusan
Unit Hal Ehwal Islam
Unit Kejuruteraan
Unit Keselamatan
Unit Pembangunan, Perolehan dan Penswastaan (3P)
Unit Perhubungan Awam
Unit Hasil
Unit Kewangan, Akaun dan Hasil
Unit Sumber Manusia, Kompetensi dan Latihan
Unit Pentadbiran Am
Unit Teknologi Maklumat
Unit Psikologi dan Kaunseling
Unit Pengurusan Aset
Sekolah Dalam Hospital
Direktorat Perubatan dan Psikiatri
Jabatan Perubatan Am
Jabatan Psikiatri dan Kesihatan Mental
Jabatan Perubatan Rehabilitasi
Hospital Kluster Pahang Tengah
Direktorat Pembedahan dan Kecemasan
Jabatan Kecemasan dan Trauma
Jabatan Anestesiologi dan Rawatan Rapi
Jabatan Pembedahan Am
Jabatan Ortopedik
Jabatan Otorinolaringologi
Jabatan Oftalmologi
Jabatan Bedah Mulut dan Maksilofasial
Direktorat Wanita dan Kanak-Kanak
Jabatan Obstetrik dan Ginekologi
Jabatan Pediatrik
Jabatan Pergigian Pediatrik
Pencapaian dan Pengiktirafan
Penyeliaan dan Kejururawatan
Unit Penyeliaan Kejururawatan
Unit Penyeliaan Penolong Pegawai Perubatan
Direktorat Diagnostik Klinikal dan Forensik
Jabatan Patologi dan Tabung Darah
Jabatan Radiologi
Unit Perubatan Forensik
Direktori Pegawai
Direktorat Penyelidikan dan Sokongan Klinikal
Jabatan Farmasi
Jabatan Rekod Perubatan
Jabatan Dietetik dan Sajian
Jabatan Kerja Sosial Perubatan
Pengurusan Risiko dan Survelan
Unit Kualiti, Keselamatan Pesakit dan Penyelidikan
Unit Kawalan Infeksi
Unit Kesihatan Awam, Keselamatan dan Kesihatan Pekerjaan
Hubungi Kami
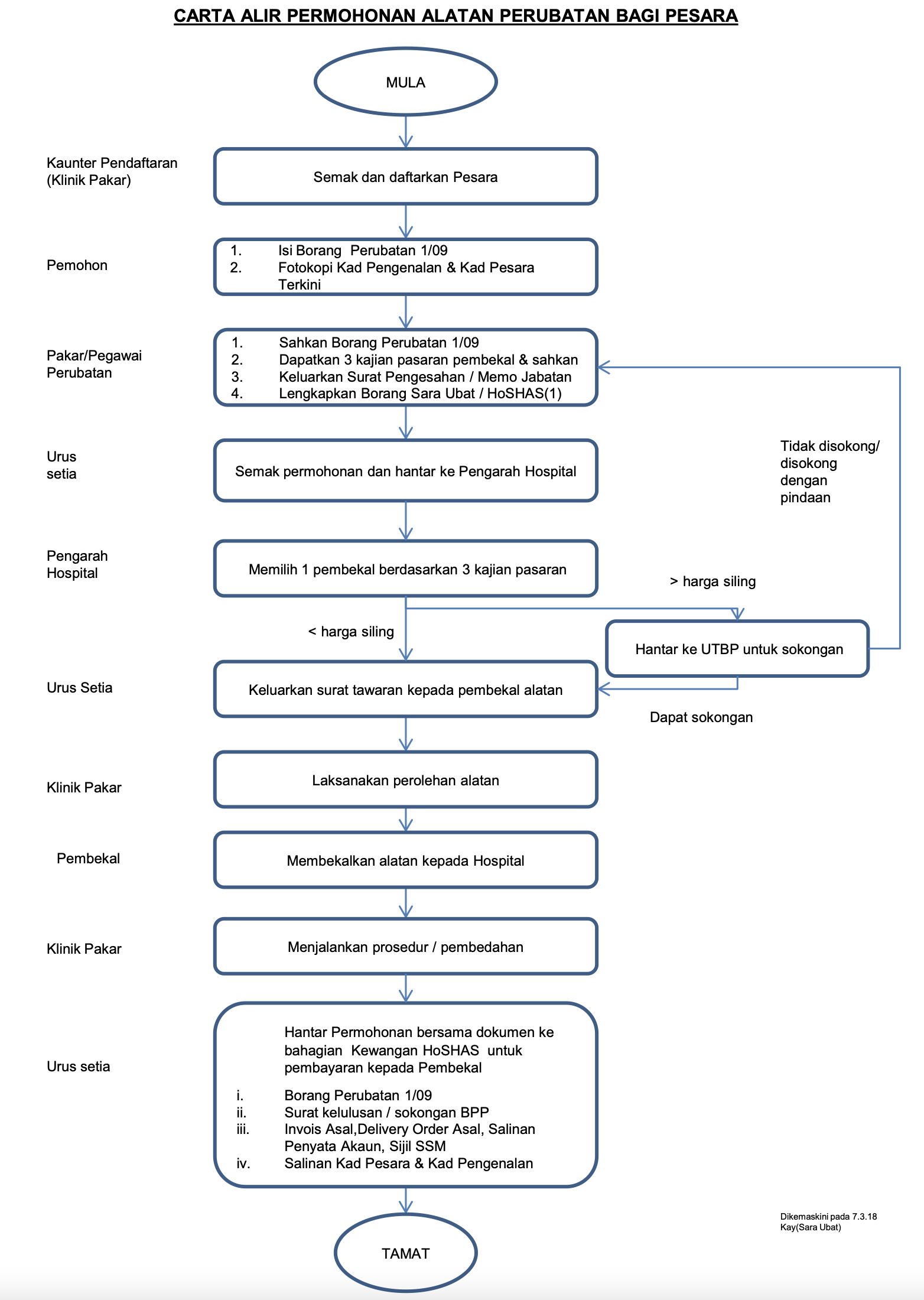
Carta Alir Permohonan Alatan Perubatan
Sila
klik sini
untuk carta alir
Sila
klik sini
untuk maklumat lanjut
Medication Ordering Service (MOS)
Wad Bersalin / PAC
Kadar Bayaran
Perkhidmatan Rawatan Harian
Rujukan ke Klinik Pakar
Kemasukan Ke Wad
Permohonan Alatan Perubatan
Permohonan Laporan Perubatan
Permohonan Pembekalan Ubat
Rawatan Hemodialisis & CAPD
Rawatan Di Klinik Pakar
Utama
Pesakit
Permohonan Alatan Perubatan